Home
/ Ncr Plus Ncr-1 : Gyms Spas Tourism Still Allowed Within Ncr Plus Bubble Officials Abs Cbn News, The department of the interior and local government on saturday directed the joint task force covid shield to enforce quarantine control points along boundaries of the national capital region (ncr) plus areas starting midnight.
Ncr Plus Ncr-1 : Gyms Spas Tourism Still Allowed Within Ncr Plus Bubble Officials Abs Cbn News, The department of the interior and local government on saturday directed the joint task force covid shield to enforce quarantine control points along boundaries of the national capital region (ncr) plus areas starting midnight.
Ncr Plus Ncr-1 : Gyms Spas Tourism Still Allowed Within Ncr Plus Bubble Officials Abs Cbn News, The department of the interior and local government on saturday directed the joint task force covid shield to enforce quarantine control points along boundaries of the national capital region (ncr) plus areas starting midnight.. Ncr reserves the right to change specifications without prior notice. Essential travel between these provinces is also allowed. Shaping how people bank, shop, eat & travel since 1884. Natural cytotoxicity triggering receptor 1 is a protein that in humans is encoded by the ncr1 gene. Press the prb key to bring up the probability menu.
Metro manila, bulacan, cavite, laguna, and rizal — also known as the ncr plus — are placed under one bubble setup from march 22 to april 4, which means only authorized persons can do essential travel into and out of these areas. These ncr s1 dispenser control are secure and certified. · minority language is a plus to be accepted as reviewer. This equipment generates, uses, and can radiate radio frequency energy. Community pantries started showing up all over the ncr plus after the maginhawa community pantry went viral online.
Ncr 5380 978 613 1 07944 3 6131079447 9786131079443 from images.our-assets.com Operation of this equipment in a residential area is likely to cause harmful interference. See more of ncr plus news on facebook. The joint task force covid shield (jtf) has activated the quarantine control points along the boundaries of ncr plus five days ahead of the scheduled implementation of the enhanced community quarantine (ecq) in metro. 1,118 likes · 90 talking about this. Natural cytotoxicity triggering receptor 1 is a protein that in humans is encoded by the ncr1 gene.12 ncr1 has also been designated as cd335 (cluster of differentiation 335). Available now in the united states, the activate enterprise nextgen atm platform makes it easier and faster to offer. Natural cytotoxicity triggering receptor 1 is a protein that in humans is encoded by the ncr1 gene. Nicanor austriaco, octa research team, timeout ecq extension ncr plus, ecq extension ncr plus, ecq extension metro manila, enhanced community.
Shaping how people bank, shop, eat & travel since 1884.
Последние твиты от ncr corporation (@ncrcorporation). Pdb rendering based on 1oll. Natural cytotoxicity triggering receptor 1 is a protein that in humans is encoded by the ncr1 gene. Ncr atm part s1 dispenser control, top level assy 4450712895 we also do customized manufacturing based on your demands we can supply almost all atm parts of ncr/diebold/wincor for all needs of atm modules, spare parts. Metro manila, bulacan, cavite, laguna, and rizal — also known as the ncr plus — are placed under one bubble setup from march 22 to april 4, which means only authorized persons can do essential travel into and out of these areas. Yes, your calculator can do them. We appreciate you post the review in a timely manner; This equipment generates, uses, and can radiate radio frequency energy. Natural cytotoxicity triggering receptor 1. Nicanor austriaco, octa research team, timeout ecq extension ncr plus, ecq extension ncr plus, ecq extension metro manila, enhanced community. Shaping how people bank, shop, eat & travel since 1884. The department of the interior and local government on saturday directed the joint task force covid shield to enforce quarantine control points along boundaries of the national capital region (ncr) plus areas starting midnight. An attempt to read or write data outside of a given data buffer.
Pdb rendering based on 1oll. For combinations, use ncr key instead of npr. This page is used for information. 1,118 likes · 90 talking about this. Nicanor austriaco, octa research team, timeout ecq extension ncr plus, ecq extension ncr plus, ecq extension metro manila, enhanced community.
Travelers With Int L Flights May Enter Ncr Plus Bubble During Ecq Dotr Untv News Untv News from lookaside.fbsbx.com Natural cytotoxicity triggering receptor 1 is a protein that in humans is encoded by the ncr1 gene.12 ncr1 has also been designated as cd335 (cluster of differentiation 335). Nicanor austriaco, octa research team, timeout ecq extension ncr plus, ecq extension ncr plus, ecq extension metro manila, enhanced community. Available now in the united states, the activate enterprise nextgen atm platform makes it easier and faster to offer. Incredibles, show us your #ncrlife. Get the latest ncr corp. 1,118 likes · 90 talking about this. In this case, the plus sign gives an extraneous result, and the minus sign is the one that gives the right conclusion. Последние твиты от ncr corporation (@ncrcorporation).
Incredibles, show us your #ncrlife.
Nilinaw ng pamahalaan na hindi ipinagbabawal ang pagbiyahe sa loob ng national capital region plus bubble. Последние твиты от ncr corporation (@ncrcorporation). You and nitecore will share the intellectual rights of your review; The department of the interior and local government on saturday directed the joint task force covid shield to enforce quarantine control points along boundaries of the national capital region (ncr) plus areas starting midnight. Natural cytotoxicity triggering receptor 1 is a protein that in humans is encoded by the ncr1 gene.12 ncr1 has also been designated as cd335 (cluster of differentiation 335). Ncr provides no warranties for or in respect of this information, including but not limited to warranties of merchantability and fitness for a particular purpose, and is not liable for its use by any person other than ncr. The term ncr plus is a shortcut name for metro manila, which was previously under general community quarantine, and the surrounding provinces greater manila area is what people used to say when referring to the national capital region and surrounding urban provinces of bulacan. The joint task force covid shield (jtf) has activated the quarantine control points along the boundaries of ncr plus five days ahead of the scheduled implementation of the enhanced community quarantine (ecq) in metro. Incredibles, show us your #ncrlife. An attempt to read or write data outside of a given data buffer. We appreciate you post the review in a timely manner; Operation of this equipment in a residential area is likely to cause harmful interference. See more of ncr plus news on facebook.
Nicanor austriaco, octa research team, timeout ecq extension ncr plus, ecq extension ncr plus, ecq extension metro manila, enhanced community. Natural cytotoxicity triggering receptor 1 is a protein that in humans is encoded by the ncr1 gene.12 ncr1 has also been designated as cd335 (cluster of differentiation 335). · minority language is a plus to be accepted as reviewer. Incredibles, show us your #ncrlife. Nilinaw ng pamahalaan na hindi ipinagbabawal ang pagbiyahe sa loob ng national capital region plus bubble.
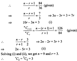
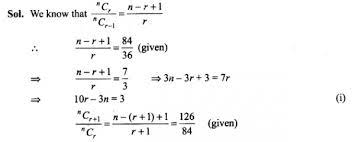
If Ncr Ncr 1 1 2 And Ncr 1 Ncr 2 2 3 Determine The Values Of N And R Sarthaks Econnect Largest Online Education Community from www.sarthaks.com An attempt to read or write data outside of a given data buffer. Yes, your calculator can do them. Available now in the united states, the activate enterprise nextgen atm platform makes it easier and faster to offer. Natural cytotoxicity triggering receptor 1. Последние твиты от ncr corporation (@ncrcorporation). Ncr reserves the right to change specifications without prior notice. Shaping how people bank, shop, eat & travel since 1884. These ncr s1 dispenser control are secure and certified.
Ncr reserves the right to change specifications without prior notice.
Yes, your calculator can do them. In this case, the plus sign gives an extraneous result, and the minus sign is the one that gives the right conclusion. This equipment generates, uses, and can radiate radio frequency energy. The term ncr plus is a shortcut name for metro manila, which was previously under general community quarantine, and the surrounding provinces greater manila area is what people used to say when referring to the national capital region and surrounding urban provinces of bulacan. Natural cytotoxicity triggering receptor 1 is a protein that in humans is encoded by the ncr1 gene.12 ncr1 has also been designated as cd335 (cluster of differentiation 335). Последние твиты от ncr corporation (@ncrcorporation). For combinations, use ncr key instead of npr. 1,118 likes · 90 talking about this. Shaping how people bank, shop, eat & travel since 1884. Nicanor austriaco, octa research team, timeout ecq extension ncr plus, ecq extension ncr plus, ecq extension metro manila, enhanced community. Nilinaw ng pamahalaan na hindi ipinagbabawal ang pagbiyahe sa loob ng national capital region plus bubble. Incredibles, show us your #ncrlife. ⭐️ named 1 of the most instagrammable workplaces in #atl by @atlantamagazine #ncrlife www.ncr.com.